Mammifères

De Biodivers
Aller à : navigation, rechercher
Haselmaus MaximilianDorsch 96 dpi.jpg
Le Muscardin (Muscardinus avellanarius) est très exigeant quant à la qualité et à la connectivité de son habitat. Il se prête de ce fait bien au rôle d’espèce indicatrice et d’espèce phare des forêts et haies proches de l’état naturel. Photo : Maximilian Dorsch.
Texte Adrian Dietrich
Review Thomas Briner, Darius Weber
Traduction Sandrine Seidel
Publication Fevrier 2019




Résumé

En excluant les chauves-souris, on compte 69 espèces de Mammifères qui vivent en Suisse. La majorité des espèces et des individus fait partie des micromammifères. Pour ce groupe comme pour d’autres espèces de Mammifères, on dispose de peu d’informations en Suisse concernant leur répartition exacte et l’évolution des populations.

Les Mammifères de Suisse constituent un groupe très hétérogène, aux exigences écologiques variées, présent dans tous les habitats de notre pays. Cette diversité, la grande superficie relative nécessaire à l’espace vital, et l’importance que revêt l’interconnexion des habitats, rendent ardue la promotion des Mammifères. De plus, pour la plupart des espèces de ce groupe, il n’existe pas de mesures de conservation testées empiriquement.

Strukturen HWildermuth Galerie.png
Les structures ont une importante fonction de connexion et d’abri pour de nombreux Mammifères.

Systématique

Micromys minutus 3, Dwergmuis, Saxifraga-Rudmer Zwerver.jpg
La Souris des moissons (Micromys minutus) est le plus petit rongeur de Suisse. C’est une excellente grimpeuse, ne pesant que quelques grammes et vivant dans la végétation haute. Elle figure sur la Liste rouge dans la catégorie « fortement menacée ». On ignore sa répartition exacte en Suisse et les mesures concrètes qui permettraient de la favoriser.

Entre le début du 20ème siècle et la fin 2017, 98 espèces de Mammifères ont été mentionnées en Suisse [Source Simon Capt / CSCF]. Parmi elles, on compte 29 espèces de chauves-souris qui ne seront pas traitées dans cet article. Les autres espèces se répartissent dans les ordres suivants :

  • Ongulés : 8 espèces
  • Carnivores : 16 espèces
  • Lagomorphes : 4 espèces
  • Rongeurs : 27 espèces
  • Insectivores : 14 espèces

Quelques espèces ne présentent que des mentions isolées (Musaraigne étrusque p. ex.) ou anciennes (Genette p. ex.), tandis que le statut de certaines autres est très peu connu. Parmi les Mammifères recensés (sans les chauves-souris), 10 espèces ont immigré ou ont été introduites, et sont potentiellement invasives. Il faut s’attendre à l’arrivée d’autres espèces de Mammifères en Suisse dans les prochaines années (Ecureuil gris, Ecureuil à ventre rouge, Vison d’Amérique p. ex.) et avec elles la possibilité d’une menace pour les espèces autochtones.

Notions d’écologie utiles pour la pratique

La classe des Mammifères est très hétérogène en ce qui concerne la biologie de ses représentants, de même que la perception qu’on en a et l’état des connaissances à leur sujet. Pour bien des aspects, les Chiroptères (chauves-souris) se distinguent très nettement des autres espèces de cette classe présentes en Suisse, raison pour laquelle on les traite souvent séparément, comme c’est le cas sur cette plateforme.

Toutes les espèces de Mammifères de Suisse (sans les Chiroptères) sont peu spécialisées et ont des niches écologiques relativement larges. Les éléments d’écologie essentiels utiles pour la pratique concernant ce groupe sont les besoins énergétiques élevés, l’étendue des surfaces nécessaires et l’importance que revêt la connexion des habitats. En parallèle, chaque espèce possède ses exigences spécifiques quant à l’habitat, et occupe une position particulière dans la chaîne alimentaire (herbivore, prédateur d’herbivores, prédateur de petits prédateurs, etc.).

Besoins nutritionnels élevés

Sorex minutus 2, Dwergspitsmuis, Saxifraga-Rudmer Zwerver.jpg
Pour couvrir ses besoins énergétiques élevés, la musaraigne pygmée (Sorex minutus) doit ingérer quotidiennement une masse d’invertébrés supérieure à son propre poids.
Hermelin Filippo Nuciflora.jpg
Les Hermines (Mustela erminea) doivent consommer un à deux micromammifères par jour pour couvrir leurs besoins énergétiques très élevés.

Comparé à d’autres classes d’animaux, les Mammifères ont des besoins énergétiques très élevés, besoins qui couvrent le maintien de la température corporelle à une valeur constante, les mouvements, ainsi que la construction et l’entretien du corps. Les petits Mammifères en particulier doivent donc ingérer de la nourriture à intervalles réguliers ; il peut même arriver que la quantité de nourriture quotidienne nécessaire dépasse le poids du corps. Une Musaraigne pygmée, par exemple, consomme chaque jour 1,25 fois son poids – soit environ 250 petits invertébrés tels que coléoptères, araignées, isopodes, punaises ou fourmis.

La plupart des Mammifères montrent un régime alimentaire varié et, en général, ils privilégient la nourriture la plus accessible à teneur énergétique la plus élevée. Pour de nombreux Mammifères, la composition de l’alimentation change ainsi au cours de l’année. Cela leur permet aussi de choisir d’autres sources de nourriture si la nourriture principale vient à manquer.

Pour traverser avec succès les périodes où la nourriture est très peu disponible de façon généralisée, les espèces ont développé différentes stratégies. Nombreuses sont celles qui peuvent réduire leur activité et faire baisser leur température corporelle, ce qui réduit les besoins énergétiques et permet de ralentir le métabolisme et les fréquences respiratoire et cardiaque. Ces pauses dans l’activité peuvent durer quelques heures (torpeur) ou s’étendre sur plusieurs jours, voire mois (hibernation). Pour que ces phases de repos puissent avoir lieu, il faut que les individus aient pu auparavant stocker suffisamment de réserves sous forme de graisse corporelle, et qu’ils ne soient pas dérangés pendant ces phases. D’autres espèces, en particulier les musaraignes et les petits Mustélidés, qui ne peuvent pas constituer de réserves, réduisent leur masse corporelle et diminuent la taille de leurs organes en automne (phénomène de Dehnel).

Grande superficie indispensable

Luchs Hausspitzmaus.png
Les Lynx (Lynx lynx) ont besoin de beaucoup d’espace. Le territoire moyen d’une femelle s’étend sur 90 km2, celui d’un mâle sur 150 km2. Une famille de Musaraignes musettes (Crocidura russula) n’a pas besoin de beaucoup de place, mais pour qu’une population soit viable, il faut à cette dernière un quartier ou un jardin très accueillant.

Une autre stratégie adoptée par quelques Mammifères pour vaincre le manque de nourriture consiste à fuir vers des régions offrant plus de nourriture. A part les migrations saisonnières à longue distance qu’on connaît, p. ex. les migrations automnale et printanière des cerfs, il peut s’agir de déplacements à petite échelle à l’intérieur du domaine vital. La plupart des Mammifères utilisent ainsi, pour se nourrir, des domaines vitaux très grands comparativement à leur taille corporelle. Le territoire moyen des lynx mâles de Suisse, par exemple, mesure 150 km2, tandis qu’une Musaraigne carrelet possède en été un domaine vital qui s’étend sur 175 à 925 m2.

En plus d’une nourriture en suffisance, les Mammifères ont besoin d’endroits spécifiques où se mettre à l’abri des ennemis et se reposer. Par ailleurs, ils ont besoin de lieux abrités des regards et idéalement secs pour se reproduire et survivre aux périodes de disette. Beaucoup de petites espèces fouissent ces endroits elles-mêmes et ont besoin pour ce faire de sols adéquats. Les autres, non fouisseuses, utilisent toutes sortes de cavités, qu’elles soient naturelles ou créées par les humains.

La répartition spatiale de ces ressources influence la superficie nécessaire à une femelle pendant sa vie. L’utilisation de l’espace par les mâles est quant à elle influencée en plus par la répartition des femelles.

Ces exigences spatiales au final élevées mènent à des densités (nombre d’individus par unité de surface) très faibles et qui dépendent de la structure de l’habitat.

A l’inverse, une offre alimentaire plus abondante que la moyenne – par exemple dans les agglomérations – peut aussi conduire à ce que des espèces normalement solitaires, comme le Renard roux (Vulpes vulpes) adoptent une organisation sociale prenant la forme de groupes familiaux.

La présence à long terme d’une espèce de Mammifère dans un habitat ne dépend pas de la survie d’un individu particulier, mais de celle de la population (tous les individus qui peuvent se reproduire entre eux). Pour qu’une population se développe, l’habitat doit offrir assez de ressources pour qu’un grand nombre d’individus puissent survivre (surface minimale). La superficie nécessaire à la survie d’une espèce est ainsi un multiple de celle du domaine vital d’un individu.

Nécessité d’une bonne interconnexion

BUND Bundesverband CC-BY-SA-2.0.jpg
Les passages à faune facilitent la traversée des obstacles que constituent les routes du point de vue des Mammifères et favorisent ainsi l’échange d’individus entre habitats voisins.
Igel Galerie senkr.png
Des mesures simples permettent de rendre les obstacles du jardin plus faciles à franchir, pour les Hérissons (Erinaceus sp.) par exemple. En laissant une ouverture dans les palissades ou en bas des grillages, ou aménageant des bordures ne dépassant pas 10 à 15 cm de haut, on permet aux Hérissons de se déplacer d’un jardin à l’autre. La brochure « Schutz der kleinen Säugetiere. Eine Arbeitshilfe (intern verlinken) et « Bahn frei – für die Igel » (en allemand) présentent des informations détaillées pour améliorer l’interconnexion dans les jardins.

La superficie nécessaire à la survie d’une population diminue avec l’augmentation du niveau d’interconnexion avec d’autres habitats. Lorsque la connexion d’un site avec d’autres habitats est si bonne qu’elle permet aux individus d’émigrer et immigrer facilement, les Mammifères peuvent aussi survivre dans des zones qui ne disposent de ressources que pour quelques individus (métapopulation).

Outre la superficie, la reproduction est aussi influencée par la disponibilité de la nourriture chez quelques espèces. Les Belettes peuvent ainsi mettre bas deux fois et élever un plus grand nombre de jeunes les années où la densité de campagnols est forte. De même, les chevreuils donnent naissance à une proportion plus grande de jeunes femelles quand la nourriture est abondante, alors que les années difficiles voient naître plus de descendants mâles ; ceux-ci parcourent de plus grandes distances et entrent ainsi moins en concurrence avec la mère pour se nourrir.

En plus d’éviter la concurrence intra-spécifique pour les ressources, ces déplacements de grande ampleur des jeunes contribuent au repeuplement des territoires abandonnés suite à la mort de leur occupant et augmentent la diversité génétique.

Les faibles densités restreignent le nombre de partenaires potentiels pour les individus, ce qui peut conduire à une baisse de la diversité génétique. Les jeunes qui immigrent amènent de nouvelles variations génétiques dans une région et par là augmentent potentiellement la fitness des individus à venir.

Cependant, si une région est isolée par des barrières rendant l’immigration des animaux difficile voire impossible, la diversité génétique s’appauvrit à long terme, et généralement la population s’éteint. Il est donc essentiel, pour la promotion des espèces de Mammifères, que les différents habitats et secteurs de conservation soient le mieux interconnectés possible.

Informations supplémentaires :

Dans son livre « Die kleine Wildnis », Helene Müri décrit très bien et avec de nombreux exemples l’écologie des Mammifères, avec un accent particulier sur les Mustélidés. (En allemand; Müri, H. (2015): Die kleine Wildnis. Einblicke in die Lebensgemeinschaft der kleinen Raubsäuger und ihrer Beutetiere in Mitteleuropa. Zürich, Bristol-Stiftung; Bern, Haupt 225 S).

Le livre de Werner Suter « Ecologie des Vertébrés » transmet en détail les connaissances de base sur la biologie et l’écologie des Mammifères (et des Oiseaux). (En allemand; Suter, W. (2017): Ökologie der Wirbeltiere. Vögel und Säugetiere. Bern, Haupt)

Conservation et promotion

3476956400 698aab8805 o.jpg
Le Lièvre brun (Lepus europaeus) est l’une des rares espèces de Mammifères de Suisse pour lesquelles il existe un programme de suivi à long terme, et des mesures de conservation testées sur le terrain.

Les projets de suivi et de conservation des Mammifères en Suisse se focalisent le plus souvent sur quelques espèces, les grands Carnivores et les espèces listées dans la loi sur la chasse ; les petites espèces en particulier sont peu considérées.

Pour plusieurs raisons, la promotion ciblée des espèces de Mammifères est très ardue, et toutes les espèces ne se prêtent pas à des projets de promotion. L’une des grandes difficultés réside dans le fait que beaucoup de Mammifères ont des besoins d’espace tels que ceux-ci ne peuvent pas être couverts par une seule réserve naturelle ni par des mesures ponctuelles telles que des nichoirs, mais qu’ils demandent une revalorisation du paysage sur une grande superficie. Cela n’est possible que si les différents partenaires collaborent (propriétaires fonciers, exploitants et autorités politiques) ; il ne faut pas sous-estimer la coordination nécessaire. La perception positive dont jouissent la plupart des Mammifères dans la population joue là un rôle positif. Néanmoins il faut souvent utiliser toutes les possibilités qui s’offrent pour les revalorisations, et les compromis sont inévitables.

Cela est toutefois possible, grâce au fait que la plupart des Mammifères (sans les Chiroptères) montrent une grande tolérance quant à leurs exigences écologiques. De plus, la plupart des mesures de conservation recommandées ne sont que des estimations d’experts et ne sont pas validées scientifiquement (voir chapitre « Ce qu’on ignore encore »).

Il faut par ailleurs tenir compte du fait que quelques espèces portent en elles un certain potentiel de conflit (dommages aux animaux de rente et domestiques, aux cultures ou à la forêt, dissémination et transmission de maladies, nuisances dues aux excréments, au bruit ou à l’abroutissement) ; ces possibles conflits doivent être pris en compte lors du choix des espèces visées par les projets de conservation.

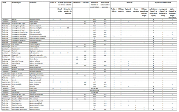
Tableau mammifères fr.GIF
Nous avons compilé dans un tableau le statut de protection de tous les Mammifères de Suisse, leurs besoins de conservation et l’état des connaissances sur la promotion de leurs habitats.

Il existe quelques organisations spécialisées qui s’occupent de la protection et de la promotion d’espèces ou groupes d’espèces particuliers.

Stratégie de conservation

Au début de la planification de mesures de conservation en faveur de Mammifères, il faut clarifier si les espèces sont ou non présentes dans la région concernée ou s’il existe des connexions suffisantes avec les populations voisines, permettant que des individus immigrent dans ladite région.
Il est ensuite recommandé d’examiner quelles exigences générales et particulières à l’espèce sont déjà remplies dans la région visée. Il n’est souvent pas nécessaire – ou même, pour les prédateurs, pas du tout souhaitable – qu’on favorise spécialement la nourriture de base, Rongeurs par exemple.
Sur la base des réponses à ces questions, on peut ensuite définir les mesures qui doivent être mises en œuvre pour la promotion concrète d’une espèce de Mammifère. Ce processus permet d’éviter d’ériger des pièges biologiques, à savoir des régions qui sont très attirantes à court terme, mais qui n’autorisent pas la présence de l’espèce à long terme.

Mesures de conservation pour des espèces ou groupes d’espèces

Il apparaît clairement dans le tableau présentant tous les Mammifère de Suisse que les mesures de conservation spécifiques ne sont connues que pour quelques espèces. Les mesures connues pour la promotion du Lièvre brun, du Muscardin, de la Belette et des Musaraignes aquatique et de Miller – toutes espèces qui ont besoin d’efforts de conservation – sont présentées ci-dessous.
On peut appliquer à la promotion du Putois (Mustela putorius) les mesures qu’on prend pour l’Hermine et la Belette. Comme les Putois préfèrent les habitats plus humides, les mesures de conservation seront dans l’idéal mises en œuvre à proximité de milieux aquatiques ou de zones humides, et complétées avec des mesures pour la conservation des amphibiens.

iltis-d868f6eb-de98-4533-8176-608f708eec9a 96 dpi.jpg
On peut favoriser le Putois (Mustela putorius) avec les mêmes mesures que pour l’Hermine et la Belette.

Nous vous présentons de plus les mesures pour favoriser la Musaraigne pygmée et le Hérisson d’Europe, deux espèces dont les besoins de conservation ne sont pas clairs – un statut dû entre autre au fait qu’on ne dispose pas des connaissances suffisantes sur l’évolution de leurs populations. Le hérisson est une espèce qui se prête très bien à des projets de conservation dans les agglomérations, tandis que les mesures pour la Musaraigne pygmée profitent aussi à un grand nombre d’autres espèces de musaraignes.

Musaraigne aquatique (Neomys fodiens) et Musaraigne de Miller (Neomys anomalus)

La Musaraigne aquatique et la Musaraigne de Milller sont les seuls micromammifères (Mammifères < 200 g) qui utilisent les milieux aquatiques pour se nourrir. La Musaraigne de Miller est un peu moins spécialisée dans la chasse dans l’eau et est présente en Suisse surtout dans les Préalpes et les Alpes ainsi que dans le Jura, tandis que la Musaraigne aquatique est répandue dans toute la Suisse. Les deux espèces ne peuvent pas être distinguées l’une de l’autre avec certitude sans examen supplémentaire (analyse génétique ou mesure des dents ou des mâchoires) – y compris par les spécialistes.
Alors que les Musaraignes de Miller utilisent aussi les petits étangs et les zones humides, les Musaraignes aquatiques se rencontrent surtout à proximité de plans d’eau et cours d’eau proches de l’état naturel. Ces dernières utilisent des milieux aquatiques très divers et ne semblent pas montrer de préférence quant aux caractéristiques de ces milieux (profondeur, vitesse du courant, largeur). Elles sont aussi relativement tolérantes concernant l’aménagement des berges. Les talus raides (> 45°) en terre sont appréciés, elles y creusent leurs terriers ou ré-utilisent des anciennes galeries de campagnols. Les entrées doivent se trouver assez haut pour ne pas être inondées lors des crues. Des berges consolidées avec des pierres ou des racines denses peuvent aussi être utilisées, lorsqu’elles présentent des niches qui peuvent être utilisées comme cachettes et comme site de reproduction.
Les domaines vitaux des Musaraignes aquatiques s’étendent sur des secteurs de cours d’eau de 40 à 150 m de long. Cependant, pour qu’une population de cette espèce s’établisse à long terme, il faut que des bonnes conditions règnent sur un tronçon bien plus long ou qu’il existe un réseau de milieux aquatiques.
Les mesures décrites sont formulées plutôt pour la Musaraigne aquatique, mais aident aussi la Musaraigne de Miller

Fliessgewässer AdrianDietrich 96 dpi.jpg
Rivière à cours lent en partie ombragé, dans un secteur forestier à sous-bois dense. Les zones riveraines immergées offrent aux Musaraignes aquatiques des lieux d’où elles peuvent sortir de l’eau pour consommer leurs proies.
Entwässerungsgraben KathiMärki 96 dpi.jpg
Fossé de drainage non bétonné à rives en parties immergées et interrompues, permettant aux Musaraignes aquatiques de sortir de l’eau et d’y creuser leur terrier.

Milieux aquatiques

  • Remise à ciel ouvert des ruisseaux mis sous terre ou démolition des ouvrages sur les cours d’eau pour obtenir une situation proche de l’état naturel avec une zone riveraine large et bien structurée et des berges en terre raides.
  • Renaturer le fond des ruisseaux et favoriser les éléments inondés ou les créer artificiellement au moyen de troncs, de grosses branches ou de souches placées dans l’eau – ces structures sont fréquentées par les invertébrés aquatiques et servent de support pour grimper.
  • Laisser la végétation croissant au fond de l’eau. Lorsqu’un désherbage est nécessaire, l’effectuer sur une longueur maximale de 30 m et ne pas employer de pelles fermées afin de laisser aux animaux une possibilité de s’échapper.

Berges

  • Laisser sur pied les vieux feuillus isolés au bord de l’eau. Leur ombrage fait baisser la température de l’eau en été, ce qui a un impact positif sur l’entomofaune aquatique. Les feuilles qui tombent dans l’eau fournissent micro-habitats et nutriments aux gammares et aux insectes aquatiques.
  • Réduire le volume des arbres et des buissons sur les berges, de telle sorte que le sol reçoive de la lumière et qu’une strate herbacée diversifiée puisse se développer.
  • Conserver les ourlets herbeux sur les berges, entretenir seulement par petits secteurs et en mosaïque (tronçons de maximum 30 m linéaires) et laisser une hauteur d’au moins 15 cm lors des coupes.
  • Favoriser les laîches et les joncs, et ne couper que tous les trois ou quatre ans.
  • Aménager des bandes de végétation riveraine (https://www.biodivers.ch/fr/index.php/Informations_de_base#Assurer_un_espace_r.C3.A9serv.C3.A9_aux_eaux) à une distance d’au moins 3 mètres des champs exploités de manière intensive, et les agrémenter de hautes herbes, de murgiers et de bois mort pour le bonheur des Musaraignes aquatiques.
  • Eviter l’apport d’engrais et de pesticides dans les eaux en respectant les distances prescrites par la loi.

Les jeunes Musaraignes aquatiques se déplacent sur plusieurs kilomètres le long des cours et plans d’eau. Pour interconnecter des habitats adéquats qui ne sont pas reliés entre eux par des cours ou plans d’eau, on peut aménager, tous les trois kilomètres au maximum, des zones humides ou des étangs comme biotopes-relais.


Informations supplémentaires

Musaraigne pygmée (Sorex minutus)

Sorex minutus 2, Dwergspitsmuis, Saxifraga-Rudmer Zwerver.jpg
La Musaraigne pygmée (Sorex minutus) fait partie des Insectivores – comme toutes les musaraignes, le Hérisson et la Taupe d’Europe. Sa petite taille et son activité débordante l’obligent à consommer une grande quantité d’invertébrés pour couvrir ses besoins énergétiques. Comme elles ont de nombreux prédateurs, les Musaraignes pygmées ne peuvent survivre que là où elles disposent de suffisamment de cachettes, en plus d’une offre alimentaire adéquate..

Avec ses 2 à 8 grammes, la Musaraigne pygmée et le plus petit Mammifère que l’on trouve au nord des Alpes. Elle est présente dans toute la Suisse jusqu’à 2200 m d’altitude. Les Musaraignes pygmées passent la moitié de leur temps d’activité à la surface du sol et sont d’habiles grimpeuses. Elles ont une préférence pour les zones avec une végétation au sol dense (hautes herbes ou buissons denses) et beaucoup de bois mort, qui leur offrent une protection contre leurs principaux ennemis – les rapaces – et une source de nourriture diversifiée sous la forme de petits invertébrés.
De manière générale, toutes les musaraignes profitent du désordre, qui leur fournit des abris, des sites pour leur nid et une bonne couverture.

Agglomérations

Garten Grasstreifen MGaehler.png
Les Musaraignes pygmées aiment le désordre et se déplacent de préférence en suivant les structures longitudinales. Si on laisse pousser l’herbe au pied de ces structures, elles leur offrent une protection supplémentaire.
  • Laisser sur pied les hautes herbes et leur feutrage, en particulier au pied des murs. Les Musaraignes pygmées se déplacent volontiers le long des objets longilignes ; elles gagnent ainsi des axes de déplacement idéaux qui leur offrent une bonne couverture.
  • La litière de feuilles mortes laissée sous les arbres et les buissons offre de nombreux habitats aux invertébrés dont se nourrissent les Musaraignes pygmées. Si en plus on laisse des hautes herbes autour des troncs, les Musaraignes disposent d’une couverture pendant la période sans feuilles mortes.
  • En général, les jardins bien structurés, en particulier ceux comportant des troncs couchés, des tas de pierres ou de branches, des piles de bois ou de tuiles, et des tas de compost, offrent de nombreuses cachettes que les Musaraignes pygmées peuvent utiliser comme couvert, pour dormir, et comme niches pour élever leurs jeunes.
  • Les puits de lumière, les entrées de cave en sous-sol et les grands récipients sont des pièges potentiellement mortels pour les Musaraignes pygmées. Les animaux sont très curieux et explorent toutes les niches et ouvertures à la recherche de nourriture. Comme leurs besoins énergétiques sont élevés, le peu de temps pendant lequel elles restent prises au piège peut déjà être critique pour les Musaraignes pygmées. Pour désamorcer ces pièges, on peut placer des branches ou des planches aux endroits les plus profonds, qui permettront aux animaux d’en ressortir. Comme la plupart des Mammifères, les Musaraignes pygmées savent bien nager, toutefois elles ont besoin de branches ou de planches dans les fontaines et les étangs, afin de franchir les hauts bords ou les berges raides.

Forêts et cultures

  • Conserver les bandes herbeuses et leur feutrage, en particulier au pied des murs, des arbres et en lisière. Ces structures herbeuses offrent aux Musaraignes pygmées un couvert, des sites pour dormir, et des endroits pour élever leurs jeunes.
  • Eclaircir les forêts de telle sorte qu’une strate herbacée et arbustive dense puisse se développer et laisser le bois mort couché. Ces structures offrent de nombreux habitats aux invertébrés dont se nourrissent les Musaraignes pygmées. La strate herbacée offre de plus à ces dernières les habitats ombragés et légèrement humides qu’elles affectionnent particulièrement.

Informations supplémentaires

Muscardin (Muscardinus avellanarius)

Les exigences du Muscardin quant à la qualité et à la connectivité de son habitat sont élevées. Il se prête de ce fait très bien au rôle d’espèce indicatrice et d’espèce phare des forêts et haies proches de l’état naturel. La conservation concrète du Muscardin ne doit être entreprise que là où il existe au moins 20 hectares de forêts et de haies atteignables par l’espèce, ou très bien connectées avec d’autres habitats. L’interconnexion des habitats du Muscardin est particulièrement exigeante, car il se déplace principalement en grimpant dans les branches, et seulement rarement au sol. Une route forestière peut donc déjà constituer un obstacle très difficile à franchir.

Les habitats idéaux pour les Muscardins sont des forêts peu denses et bien structurées dont les strates herbacée et arbustive très denses et les couronnes denses offrent nourriture et abris en suffisance pendant toute la belle saison.

Haselmaus Lebensraum L.Haag 96 dpi.jpg
Un habitat idéal pour le Muscardin : une forêt peu dense et bien structurée. Photo Livia Haag.

Forêt et lisières

  • Eclaircir les forêts de manière à obtenir un couvert de 25 à 30 % seulement, permettant à une strate herbacée dense de se développer. Laisser sur pied des « arbres vedettes », idéalement également des conifères, qui dispensent nourriture et protection contre les éléments. Procéder aux soins forestiers sur le principe de la mosaïque et éviter autant que possible que des secteurs voisins soient entretenus l’un directement après l’autre. Ce procédé évite de créer des grandes surfaces qui ne sont plus utilisables par le Muscardin et constituant une barrière.
  • Lors de l’entretien (et à la plantation), veiller à favoriser la plus grande diversité possible des essences d’arbres et d’arbustes, qui puisse assurer une offre alimentaire suffisante du printemps jusqu’à l’automne.
  • Renoncer autant que possible aux machines lourdes lors des travaux de bûcheronnage entrepris durant le semestre hivernal. Les nids dans lesquels les Muscardins passent l’hiver se trouvent dans la strate herbacée et le risque existe que les animaux soient écrasés par les roues pendant leur sommeil. Les travaux d’abattage manuel avec débardage par des chevaux sont idéaux.
  • Laisser sur pied les vieux arbres dont les couronnes se touchent par-dessus les routes forestières afin qu’elles puissent servir de ponts naturels aux Muscardins, leur permettant ainsi de transiter entre les habitats.
  • Lorsqu’on éclaircit les lisières, il faut veiller à ce que les tronçons ne soient pas isolés par des routes forestières et restent accessibles aux Muscardins.
14174990302 3b9ce3cebc o 96 dpi.jpg
L’Aubépine (Crataegus sp.) constitue, pour le Muscardin au sortir du sommeil hivernal, la source de nourriture par excellence.

Haies

  • Les haies hautes sont particulièrement favorables aux Muscardins . Les haies basses leur offrent un couloir de migration, mais le manque de (vieux) noisetiers et de hautes couronnes pour la recherche de nourriture à la belle saison, et l’absence de ponts constitués par des arbres, les rendent inadéquates comme habitat. Dans les haies d’arbres, il faut veiller à la présence d’une strate basse de ronces assez garnie pour permettre aux Muscardins d’y passer l’hiver à l’abri dans leur nid.
  • Veiller, lors de la planification et l’installation d’une haie haute, que le plus grand nombre d’essences possible soient plantées (voir liste des essences). A la page 12 du « Dormhouse conservation handbook », se trouve une liste présentant l’importance de chaque essence pour les Muscardins.
  • Favoriser le Muscardin requiert de planter le plus grand nombre possible de noisetiers. Comme cette essence croît rapidement et peut évincer d’autres espèces, il faut prendre en compte la nécessité de l’entretien plus important qui en découle lors de la planification des soins futurs à la haie. Les noisettes sont une ressource alimentaire importante en automne pour accumuler les stocks de graisse nécessaires à l’hibernation. Les noisetiers représentent aussi un habitat pour une multitude d’insectes que les Muscardins consomment, surtout au printemps et en été. Par ailleurs, les fleurs des chèvrefeuilles et des aubépines représentent une importante source de nourriture au printemps.
  • Veiller à ce que les haies ne soient pas isolées des lisières et haies voisines lors de leur entretien ; il faut en particulier conserver les ponts constitués par les couronnes. Si l’entretien est effectué au semestre d’hiver, les buissons ne doivent être coupés plus bas que la strate herbacée, afin que les Muscardins qui hibernent dans cette strate ne soient pas blessés.
  • Le plus possible, entretenir les haies de façon différenciée et pas sur toute leur largeur afin que les Muscardins trouvent toujours assez de buissons pour se déplacer. Les arbustes à baies devraient idéalement être taillés tous les trois ans, car la production de fruits diminue avec l’âge des branches. A l’inverse, les arbustes produisant des graines –

en particulier les noisetiers – devraient être laissés sur pied sept à dix ans, car ils ne produisent des graines qu’après quelques années, et leur production augmente avec l’âge.

Aides techniques

  • Les boîtes-nids spéciales pour Gliridés, avec ouverture sur le tronc, offrent un substitut aux cavités dans les branches et sont appréciées des Muscardins pour y passer la journée. Il faut veiller à ce que ces boîtes soient constituées de bois brut pour que les Muscardins puissent en escalader les parois intérieures. Les entrées doivent être protégées avec une plaque métallique pour empêcher les Loirs de les élargir et de coloniser les boîtes (contrairement au Muscardin, le Loir est très répandu en Suisse).
  • Les routes forestières et les autres « trous » entre des habitats qui conviennent au Muscardin peuvent être équipés de dispositifs facilitant la traversée. La construction exacte et l’utilité de telles structures sont encore discutées :

Liens:

Haselmaus Haselmausbrücke Winterthur 96 dpi.JPG
Un pont permettant au Muscardin de traverser la route en sécurité par la voie des airs.

Informations supplémentaires :

Hermine (Mustela erminea) et Belette (Mustela nivalis)

Peter Trimming 7337229720 4b37a4ef69 z-Mustela erminea CC BY 2.0.jpg
L’Hermine (Mustela erminea, illustrée ici) et la Belette (Mustela nivalis) ont besoin de beaucoup d’espace. Photo : Peter Trimming (flickr)

La Belette est le plus petit Carnivore du monde et se nourrit principalement de campagnols, comme l’Hermine. Les deux espèces sont elles-mêmes les proies d’autres animaux consommateurs de campagnols, comme la Buse variable, le Héron cendré et le Chat domestique, et sont fortement touchées par l’intensification de l’agriculture.

L’Hermine et la Belette ont besoin de très grands domaines vitaux pour pallier à l’éventualité d’une offre alimentaire insuffisante, et le nombre annuel de leurs descendants dépend de la quantité des campagnols. La survie à long terme d’une population d’Hermines nécessite une surface d’un seul tenant d’au moins 10 km2 présentant des bonnes conditions. Celles-ci sont données en particulier par les prairies permanentes extensives, les jachères et les lisières étagées.

Strukturen AdrianDietrich Galerie.png
Tas de branches au pied d’un arbre fruitier dans une prairie permanente. Ce biotope relais offre un abri aux Hermines dans un paysage agricole par ailleurs « propre en ordre ». Ensemble de mesures en faveur des Hermines : un tas de branches se trouve au pied de l’affût, l’herbe n’est fauchée qu’une fois par an sur plusieurs talus du bord du chemin, et un grand tas de bois et un tas de pierres ont été érigés en lisière.

Zones cultivées

  • Renoncer aux mesures de lutte contre les campagnols, souris et rats. Même si les poisons utilisés dans cette lutte ne tuent pas directement la Belette ni l’Hermine, ces substances s’accumulent dans le corps des prédateurs et peuvent avoir à long terme un effet néfaste sur la santé des animaux. Tous les pièges-guillotines utilisés pour capturer les campagnols (p. ex. les Topcat) sont aussi déclenchés par les Belettes et les Hermines car ces dernières se déplacent dans les galeries des campagnols.
  • Conservation et aménagement d’ourlets herbeux d’au moins trois mètres de large sur les prairies et les champs, ainsi que de jachères florales ou d’îlots de vieille herbe. Ces structures devraient idéalement prendre place au voisinage de pâturages ou prairies permanents, ou entre eux, mais pas le long des chemins, car le passage régulier de promeneurs et de chiens peut causer un important dérangement aux deux espèces.
  • Les ourlets ne doivent être fauchés que de manière échelonnée afin que les Belettes et les Hermines disposent toujours d’un couvert et puissent se déplacer le long de l’ourlet. La première coupe, effectuée idéalement dans le sens de la longueur, doit avoir lieu le plus tôt possible en été, pour que les plantes aient le temps de repousser assez haut jusqu’à la pause automnale, et d’offrir un couvert adéquat aux deux espèces. La deuxième moitié doit être fauchée au plus tôt six semaines après la première.
  • Pour fournir une couverture supplémentaire sur les pâturages et prairies permanents, on peut exclure de la pâture et de la fauche des bandes isolées courant idéalement d’un bord à l’autre de la parcelle. Pour éviter l’embuissonnement, on peut déplacer les bandes laissées sur pied entre les coupes successives.
  • Dans les bords et là où des structures existent déjà (couvercles de bouches de drainage, arbres isolés, perchoirs), on peut empiler des branches ou des pierres en tas. Ceux-ci doivent mesurer 6 à 10 m2 et au moins un mètre de haut pour les tas de pierres, deux pour les tas de bois. Ceux-ci s’effondrant rapidement, il faut veiller à les remonter régulièrement et au moins tous les six ans ; quant aux tas de pierres, il faut périodiquement en éliminer la végétation.
  • Lien: Détails de la construction des tas de branches et de pierres (en allemand)

Haies

  • Les haies basses et les haies hautes sont particulièrement favorables à la Belette et à l’Hermine. Les haies d’arbres doivent comporter une strate inférieure suffisamment dense.
  • Lors de la planification de haies hautes pour la promotion de l’Hermine et de la Belette, il faut veiller à ce que les ligneux soient assez espacés, c’est-à-dire qu’au moins 1,5 m les séparent et qu’une strate herbacée la plus dense possible puisse se développer. Celle-ci offre un couvert à la Belette et à l’Hermine et un habitat au Campagnol roussâtre, une de leurs proies importantes.
  • Il faut également prévoir des trous et des échancrures, pour maximiser la longueur du manteau offrant un couvert à l’Hermine et à la Belette. L’idéal est de placer dans ces espaces des tas de branches et de pierres comportant de grandes cavités (détails pour la construction de tas de pierres et de branches, en allemand).
  • Lors de l’entretien des haies, dégager les trous et les échancrures et entasser les résidus de coupe en ménageant une grande cavité au centre du tas de branches ou compléter les tas existants. Pour rester utilisable par les Hermines et Belettes, un tas de branches doit être relevé au minimum tous les six ans. Après 15 à 20 ans, quand les bases et la grande cavité centrale s’effondrent, il faut ériger un nouveau tas de branches à côté de l’ancien.
  • Laisser un ourlet herbeux de trois à six mètres de large de part et d’autre de la haie. C’est l’habitat idéal du Campagnol roussâtre, la proie principale des Hermines et Belettes ; l’ourlet offre de plus un couvert supplémentaire aux deux espèces. Faucher l’ourlet de manière échelonnée, idéalement dans le sens de la longueur, la première partie le plus tôt possible en été, et le reste au plus tôt 6 semaines après.

Lisières

  • Idéalement, rabattre la forêt au voisinage immédiat des prairies ou pâturages permanents qui ne sont pas séparés de la forêt par des chemins ou des routes, et entretenir de sorte à obtenir une lisière étagée avec méandres, ourlet de buissons et ourlets herbeux. On crée ainsi un habitat idéal pour les Campagnols roussâtres que Belettes et Hermines consomment. Cet habitat leur offre aussi des surfaces et des axes de déplacement jouissant d’une bonne couverture et leur sert de base pour leurs sorties de chasse dans les prairies et pâturages permanents adjacents.
  • Idéalement, façonner plusieurs tas de branches ou de pierres (détails pour la construction de tas de pierres et de branches) avec une grande cavité en leur centre que les Belettes et Hermines utiliseront comme dortoir et pour élever leurs jeunes.

Les mesures isolées devraient idéalement être mises en œuvre le plus près possible les unes des autres, 20 m dans l’idéal, pour obtenir un réseau dense de structures.

Pour que les Hermines et Belettes puissent se déplacer entre chaque secteur où on les favorise, ces derniers ne doivent pas être éloignés de plus de 20 mètres, ou alors il faut aménager des structures offrant un couvert à court terme. Les tas de branches ou de pierres, les îlots de buissons et les zones de vieille herbe conviennent bien.

Informations supplémentaires

Hérisson d’Europe (Erinaceus europaeus)

PA013707 96 dpi.JPG
Un jardin richement structuré est un habitat idéal pour le Hérisson.

A l’origine habitant des paysages cultivés diversifiés organisés en petites parcelles, le Hérisson d’Europe est fortement touché par l’intensification de l’agriculture. En tant qu’espèce liée aux cultures, le hérisson a adopté les agglomérations comme habitat de substitution ; il y apparaît aujourd’hui en densité bien plus grande que dans la zone agricole. Pour couvrir leurs besoins alimentaires et sélectionner leurs partenaires de reproduction, les hérissons utilisent un territoire couvrant jusqu’à 50 hectares

Paysage cultivé

  • Renoncer à tout apport de produits chimiques visant à réduire le nombre d’insectes, de gastéropodes, et la flore adventice. Même les produits chimiques spécifiques, non toxiques pour les hérissons, ont sur eux un effet néfaste en détruisant la base de leur alimentation.
  • Mettre en place des haies basses et des haies hautes riches en espèces; la composition des essences joue un rôle moindre pour les hérissons. La présence d’un manteau présentant des branches les plus basses possible est importante, car il leur offre gîte et nourriture. De plus, les haies offrent des structures directrices le long desquelles les hérissons peuvent se déplacer.
  • Exploitation extensive des bordures herbeuses des champs, habitat de nombreux invertébrés consommés par les hérissons. Il convient dans l’idéal de faucher régulièrement ces bordures pour que les hérissons puissent chercher leur nourriture sur les surfaces ouvertes et que les invertébrés vivant dans le sol soient facilement accessibles.
  • Aménager des tas de pierres et des tas de bois (branches, souches) au bord des champs permet de créer des lieux de repli que les hérissons peuvent utiliser comme sites de repos diurnes et pour élever leurs jeunes.

Agglomérations

  • Renoncer à toute utilisation de granulés anti-limaces et d’autres poisons. Les granulés anti-limaces spécifiques, non toxiques pour les hérissons, ont aussi un effet néfaste sur eux en détruisant la base de leur alimentation.
  • Eriger des tas de branches dans des lieux ombragés et aussi tranquilles que possible, d’au moins 50 cm de haut et 1,5 mètres de diamètre, que les hérissons peuvent utiliser comme sites de repos diurnes et pour élever leurs jeunes.
  • Installer un tas de compost et faire un tas des feuilles mortes tombées au jardin. Ces deux structures sont des habitats pour les invertébrés consommés par les hérissons et sont parfois aussi utilisés par ces derniers pour y dormir.
  • nstaller des haies ou des groupes de buissons dont les branches touchent le sol autant que possible, sous lesquelles les hérissons peuvent trouver un abri et des endroits pour dormir.
  • Construire des structures telles que tas de pierre, piles de bois, planches et panneaux appuyés contre une paroi que les hérissons peuvent utiliser comme cachettes diurnes.
  • Pratiquer des ouvertures d’au moins 10 x 10 cm dans les clôtures et les délimitations de parcelles pour que les hérissons puissent passer de l’une à l’autre.
  • Les ressauts et les marches de plus de 20 cm ne sont que difficilement franchissables par les hérissons adultes et représentent des obstacles infranchissables pour les jeunes. En pratiquant des ouvertures dans les murs extérieurs ou des marches intermédiaires – pierres plates ou planches par exemple, on permet aux hérissons de les surmonter.
P6241856 zs 96 dpi.JPG
Des mesures simples – tas de branches par exemple – peuvent déjà favoriser les hérissons.

Informations supplémentaires

  • L’association Pro Igel (Pro Hérissons) mène surtout un travail de sensibilisation en faveur du hérisson. Le site internet donne des informations sur l’espèce ainsi que les numéros de téléphone des stations de soin des hérissons dans toute la Suisse.
  • Le site internet Hérissons liste les stations de soin.
  • Das Igelzentrum Zürich (en allemand) Ce centre gère une station de soin des hérissons et qui est très actif dans la sensibilisation du public à cette espèce. Son site internet donne des indications détaillées et scientifiquement solides sur la biologie de l’espèce, ainsi que sur la protection et la promotion des hérissons dans son jardin par exemple, mais aussi sur la façon d’agir lorsqu’on en trouve.
  • Dans la brochure « Igelfreundlicher Garten » (en allemand), des spécialistes montrent à quoi ressemble un jardin idéal pour les hérissons. Pour l’obtenir, nul besoin de faire intervenir un miracle : l’aménagement de quelques nouveaux secteurs, complétés par un tas de branches et de feuilles par exemple, sont déjà très efficaces.
  • L’outil d’aide à la protection des petits mammifères du canton d’Argovie (en allemand) contient une liste de nombreuses mesures qui peuvent être mises en œuvre pour la promotion des hérissons et d’autres petits Mammifères.

Lièvre brun (Lepus europaeus)

bathyporeia 9017510492 3c9dd1464c h-Lepus europaeus CC BY-NC-ND 2.0 96 dpi.jpg
Il est essentiel pour le Lièvre brun (Lepus europaeus) que les jeunes aient de bonnes chances de survie. Photo : voir flickr.

A l’origine un habitant des steppes, le Lièvre brun profite des activités agricoles, et, sans les défrichements entrepris pour pratiquer ces dernières, cette espèce n’aurait probablement jamais colonisé la Suisse. En plus des surfaces du Plateau exploitées par l’agriculture, le Lièvre brun fréquente aussi les pâturages des Préalpes et du Jura et parfois également la forêt.

Sur la base des expériences du projet HOPP HASE, on sait que le facteur clé de la conservation du Lièvre brun est l’amélioration des conditions de vie des jeunes lièvres. Les lièvres adultes n’ont quasiment pas d’ennemis naturels sur le Plateau et les pertes dues au trafic routier et à la chasse ne menacent pas les populations (voir ci-dessous « Informations supplémentaires »).

P1090048 sm 96 dpi.jpg
Laisser de l’espace entre les semis est l’un des moyens de favoriser le Lièvre brun.

Zone agricole

  • En ménageant des surfaces larges ou circulaires épargnées par le travail des machines – jachères tournantes ou fleuries par exemple – ou des ourlets au bord des champs, on peut créer des secteurs qui offrent un couvert aux jeunes lièvres sur une longue période, et de la nourriture aux adultes. Les surfaces plus larges que longues et les surfaces rondes diminuent le risque pour les jeunes lièvres d’être tués par des prédateurs. Ceux-ci se déplacent en effet de préférence le long des structures linéaires et explorent seulement rarement l’intérieur des jachères. Si, de plus, une distance d’au moins 150 m sépare ces surfaces des structures linéaires comme les haies ou les chemins agricoles, les dérangements par les chiens et l’exploration par les prédateurs peuvent être diminués d’autant plus.
  • On peut créer les conditions idéales pour les jeunes lièvres en semant les céréales de façon plus espacées – lignes espacées de 30 cm ou division par deux de la quantité de semences. Les trous entre les lignes permettent aux femelles de se déplacer dans les champs, de mettre bas et d’allaiter à l’abri dans les céréales. Entre les courtes visites de leur mère, les jeunes, blottis au sol chacun pour soi, sont bien protégés des prédateurs dans les champs de céréales clairsemés : pour les prédateurs, cela ne vaut pas le coup d’explorer toutes les lignes et ils ne parcourent donc pas l’intérieur des champs, en particulier.
  • Les clôtures électriques dont les fils sont situés à 30 cm et 70 cm du sol, ou la plantation de buissons très épineux (Prunellier p. ex.), le long des sentiers et des chemins, sont efficaces pour tenir les chiens à distance des surfaces agricoles. Des secteurs refuges sont ainsi créés, qui sont volontiers utilisés par les Lièvres bruns.

Informations supplémentaires :

  • Le projet « HOPP HASE » a tenté pendant 10 ans l’expérience de promouvoir les populations de Lièvres bruns dans les zones agricoles du nord-ouest de la Suisse. La méthode et les résultats sont présentés dans le livre « Feldhasen fördern funktioniert ! Schlussfolgerungen aus dem Projekt HOPP HASE in der Nordwestschweiz » (Darius Weber, 2017, Bristol-Stiftung, Haupt-Verlag, Bern). Les éléments essentiels de ce livre sont résumés dans l’article d’Ornis «Hopp Hase!» (en allemand).
  • Le canton d’Argovie a publié une fiche et un entretien avec un paysan (en allemand).

Conservation des espèces

Lutra lutra 30, Otter, Saxifraga-Mark Zekhuis.jpg
La Loutre (Lutra lutra) est une espèce à priorité de conservation maximale.

Selon la publiée en 1994 Liste rouge des Mammifères (sans les Chiroptères), 30% des espèces de Mammifères observées en Suisse sont menacées dans notre pays. L’actualisation de la Liste rouge est en cours, est sitôt qu’elle sera publiée nous mettrons à jour les données présentées ici.

La Liste des espèces prioritaires au niveau national recense 19 espèces de Mammifères (sans les Chiroptères) qu’il faut conserver en priorité en Suisse et pour lesquelles notre pays porte une responsabilité internationale. En plus des grands Carnivores (Lynx boréal, Ours brun, Loup), d’autres Carnivores (Chat sauvage, Loutre, Belette, Putois), du Castor d’Europe et du Lièvre brun, dix espèces de micromammifères figurent sur cette liste.

Depuis 2014, les observations de tous les groupes d’espèces alimentent la base de données «Virtual Data Center VDC» afin qu’on puisse en tenir compte dans les projets qui touchent à la protection de la nature. Cette base de données doit en particulier répondre aux besoins des services cantonaux de la nature. Ces données ne sont pas publiques.

Suivi des résultats

Pour évaluer l’efficacité des mesures de conservation mises en œuvre, il existe des méthodes spécifiques de détection pour de nombreuses espèces ; ces méthodes demandent toutefois d’être maniées par des spécialistes.

Le suivi des résultats doit pouvoir montrer si la population de l’espèce qu’on cherche à favoriser s’est bel et bien établie ou a augmenté, et ce, à moyen ou long terme. C’est très ardu car, pour nombre d’espèces de Mammifères, il est difficile d’estimer la taille des populations. Cependant, si l’on construit habilement la méthode de suivi, en comparant par exemple des régions avec et sans mesures de conservation, ou en effectuant une comparaison avant / après, on peut montrer l’évolution des populations. Il est essentiel que les méthodes de suivi ne soient pas appliquées uniquement dans les secteurs rendus attrayants pour les animaux – ce qui peut conduire à produire un résultat positif alors que les animaux se sont simplement déplacés.

Réaliser un suivi des résultats et le publier aide à améliorer les connaissances quant aux possibilités de conservation des Mammifères et contribue ainsi à rendre possibles les mesures de conservation ciblées.

De plus, les suivis apportent de précieuses informations sur la répartition des Mammifères en Suisse et permettent de mieux percevoir les tendances quant à l’évolution de leurs populations.

Menaces

Gefaehrdungen Galerie.png
L’utilisation intensive des habitats et leur morcèlement, le changement climatique, et l’immigration d’espèces invasives constituent les menaces principales pesant sur les Mammifères. L’Ecureuil gris originaire d’Amérique va probablement arriver en Suisse dans les prochaines années, risquant d’évince notre Ecureuil indigène.

L’exploitation toujours plus intensive du paysage par l’agriculture, par le mitage, et par les activités de loisirs conduit à une diminution de la qualité des milieux pour les Mammifères et en particulier au morcellement des habitats. Grâce à la largeur de leurs niches écologiques, la plupart des Mammifères peuvent affronter ce défi jusqu’à un certain point, et certaines espèces comme le Renard roux et le Hérisson d’Europe ont trouvé dans les agglomérations un habitat de substitution offrant de très bonnes conditions de vie. Les Mammifère profitent aussi de mesures non spécifiques comme la restauration des couloirs à faune ou la renaturation des milieux aquatiques.

La concurrence des espèces exotiques (néozoaires) représente un grand potentiel de menace pour quelques espèces de Mammifères. Une utilisation plus efficace des ressources alimentaires ou la transmission de maladies par les espèces invasives peut rapidement peser sur les espèces indigènes, même encore fréquentes – à l’exemple de l’Ecureuil gris avec Ecureuil d'Europe.

Les changements du climat observés actuellement représentent un défi sérieux pour les espèces spécialement adaptées au froid, en particulier dans les Alpes. Nombre de ces espèces connaissent de plus en plus de problèmes – elles doivent par exemple passer trop de temps à l’ombre et au frais et perdent ainsi du temps consacré normalement à se nourrir. De plus, la modification des conditions climatiques permet à des espèces moins spécialisées de la même guilde d’étendre leur aire de répartition et de concurrencer les espèces locales d’origine. Exemple : le grand Lièvre brun qui concurrence de plus en plus le petit Lièvre variable, adapté au froid.

Ce qu’on ignore encore

On ne connaît de mesures de conservation empiriquement testées au moyen de recherches comparatives que pour une minorité des Mammifères présents en Suisse (sans les Chiroptères). Un grand nombre de recommandations de conservation se basent sur les évaluations d’experts et sont, aussi du fait des exigences peu spécifiques des Mammifères, très grossièrement définies. Il est par conséquent d’une importance capitale que les activités de conservation soient accompagnées d’un suivi (voir chapitre « Suivi des résultats »), que les résultats en soient publiés et que les spécialistes soient sollicités lors de la planification des projets de conservation.

Liens généraux

Littérature recommandée

Ouvrage généraux et de référence

  • Müri, H. (2015): Die kleine Wildnis. Einblicke in die Lebensgemeinschaft der kleinen Raubsäuger und ihrer Beutetiere in Mitteleuropa. Zürich, Bristol-Stiftung; Bern, Haupt 225 p. (En allemand) Donne une bonne vue d’ensemble de l’écologie des Mammifères, avec un accent sur les Mustélidés.
  • Suter, W. (2017): Ökologie der Wirbeltiere. Vögel und Säugetiere. Bern, Haupt. (En allemand) Connaissances de base sur la biologie et l’écologie des Mammifères (et des Oiseaux).
  • Robin, K., Graf, R., Schnidrig, R. (2017) Wildtiermanagement, Haupt, Bern, 335 pages. (En allemand)


Littérature utile pour la pratique

  • Weber, D. (2017). Feldhasen fördern funktioniert! Schlussfolgerungen aus dem Projekt HOPP HASE in der Nordwestschweiz. Zürich, Bristol-Stiftung; Bern, Haupt. 119 S. (En allemand) : Compilation des mesures de conservation mises en œuvre expérimentalement et des résultats obtenus.
  • Office fédéral de l’environnement, 2001. Les corridors faunistiques en Suisse. Bases pour la mise en réseau suprarégionale des habitats. Cahiers de l’environnement. OFEV, Bern.

Ouvrages de détermination

  • Marchesi, P., Blant, M. & Capt, S. (éds) (2011). Mammifères de Suisse – Identification. Fauna-Helvetica 21, CSCF & SSBF, Neuchâtel. Outil de détermination pour tous les Mammifères de Suisse (y compris les Chiroptères), avec des clés pour tous les critères extérieurs, les crânes, les traces et les crottes. Commander au Shop CSCF

Ouvrages de faunistiques nationaux et suprarégionaux

  • Hausser, J. (éd.) (1995): Mammifères de la Suisse : répartition, biologie, écologie. Mémoires de l’Académie suisse des sciences naturelles, Volume 103. Birkhäuser, Bâle, 501 p. Portrait de toutes les espèces de Mammifères observées en Suisse y compris leurs répartitions observée et potentielle.
  • Marchesi, P. & Lugon-Moulin, N. (2004). Mammifères terrestres de la Vallée du Rhône, Editions monographic. 208 pages.
  • Gilliéron, J. & Morel, J. (2018) Atlas des mammifères terrestres du bassin genevois, Faune Genève. 267 pages.
  • Broggi, M. F., Camenisch, D., Fasel, M., Güttinger, R., Hoch, S., Müller J. P., Niederklopfer, P., Staub, R. (2011). Die Säugetiere des Fürstentums Liechtenstein. (Mammalia). Amtlicher Lehrmittelverlag, Vaduz. Portraits de toutes les espèces observées dans la Principauté du Liechtenstein. (En allemand)
  • Müller, J.P., Jenny, H., Lutz, M., Mühlethaler, E., Briner, T. (2010). Die Säugetiere Graubündens. Desertina-Verlag Chur. 184 pages. (En allemand)

Divers

Les activités de la Société suisse de biologie de la faune (SSBF) portent sur la protection des Mammifères sauvages de Suisse et sur la recherche scientifique à leur sujet. Cette société organise au printemps de chaque année les Journées lyssoises de la faune sauvage, qui abordent les thèmes actuels, et sont propices aux échanges d’expérience. CH-FAUNEiNFO, l’organe officiel d’information de la SSBF, présente les dernières nouvelles, les derniers résultats de la recherche, les projets et les évènements. L’un des grands projets de la SSBF est la nouvelle édition de l’atlas des Mammifères de Suisse et du Liechtenstein. La première édition, épuisée, donne une très bonne vue d’ensemble de la répartition des Mammifères observés en Suisse. La publication du nouvel atlas est prévue pour le printemps 2021. Pour de plus amples informations sur le projet :

Newsletter

Cet article vous a plu ? Vous pouvez vous inscrire pour recevoir notre newsletter mensuelle et rester informé-e des derniers articles sur la promotion des espèces et des habitats.

Auteurs

Texte Adrian Dietrich SWILD
Review Thomas Briner Naturmuseum Solothurn
Darius Weber Dr. Darius Weber
Traduction Sandrine Seidel Filoplume Traduction